TİGEM- GÖZLÜ TARIM İŞLETMESİ MÜDÜRLÜĞÜNDEN 9870 BAŞ REFORME KÜÇÜKBAŞ HAYVAN CANLI SATIŞ DUYURUSU

TİGEM- GÖZLÜ TARIM İŞLETMESİ MÜDÜRLÜĞÜNDEN 9870 BAŞ REFORME KÜÇÜKBAŞ HAYVAN CANLI SATIŞ DUYURUSU

Highslide JS

Tarım İşletmeleri Genel Müdürlüğü-Gözlü Tarım İşletmesi Müdürlüğünden alınan  e-postada; Gözlü Tarım İşletmesi yetiştirmesi Cins ve Irkları 4.madde belirtilen Toplam 9870 Baş Reforme Küçükbaş hayvan canlı ağırlık üzerinden partiler halinde açık artırma usulü ile satılacaktır.

İhale, 12.08.2025 saat 14.30’da Konya ili Sarayönü ilçesine 28 km mesafedeki İşletme merkezinde Alım Satım ve İhale Komisyonu huzurunda yapılacaktır.
İhaleye iştirak eden olmadığı veya verilen fiyatlar uygun görülmediği takdirde ihale 19.08.2025 günü saat 14.30’da aynı şartlarda tekrar yapılacaktır.
 İhaleye katılmak isteyen müşterilerde aşağıdaki şartlar aranır. a) Kanuni ikametgâh veya imzalı adres beyanı vermesi, b) Geçici teminat vermesi, c) Müşterinin tüzel kişi olması halinde gerekli yetki belgesi ve imza sirkülerinin ibraz edilmesi
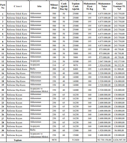
Tahmin edilen bedel, geçici teminat ve partilere ait diğer bilgiler aşağıda çıkarılmıştır.
 İhale ile ilgili geçici teminat muhammen tutarın % 5’i nispetinde olup 4.636.507,50- TL.’dir. Kesin teminat ise ihale tutarının % 10’dur.
Müşteriler geçici teminatlarını yatırmak kaydıyla ihalenin tamamına iştirak edecekleri gibi, dilediği sayıda partilerin geçici teminatlarını yatırarak da ihaleye iştirak edebilirler.
Geçici teminat ihalenin başlayacağı saate kadar işletme veznesine yatırılacağı gibi, İşletmenin T.C. Ziraat Bankası Sarayönü Şubesindeki TR76 0001 0006 0005 9943 7852 40 nolu hesabına yatırılıp alınacak makbuz komisyona ibraz edilecektir.
 İhale ile ilgili şartname Tarım İşletmeleri Genel Müdürlüğü (Karanfil Sokak No:62 Bakanlıklar/ANKARA) adresinde ve İşletmemizde görülebilir.
Bu ihale 2886 sayılı Devlet İhale kanunun ve 4734 Sayılı Kamu İhale Kanununa tabi olmayıp, ihale TİGEM Alım-Satım ve İhale Yönetmeliği esaslarında yapılmaktadır.
İlgililere ilanen duyurulur.
Detalı Bilgi için;
GÖZLÜ TARIM İŞLETMESİ MÜDÜRLÜGÜ ADRES : Gözlü Tarım İşletmesi Müdürlüğü 42430 Sarayönü/KONYA Tel... : 0.332.6228701 / 6228702 Faks. : 0.332.6228707
Mail :gozlu.tic@tigem.gov.tr Bünyamin ULUKAVAK (Ticaret ve Satın Alma Şefi)


Tarih : 23.07.2025 / Yer : GÖZLÜ TARIM İŞLETMESİ MÜDÜRLÜĞÜ
Hit : 398